




















































































































































































































































































































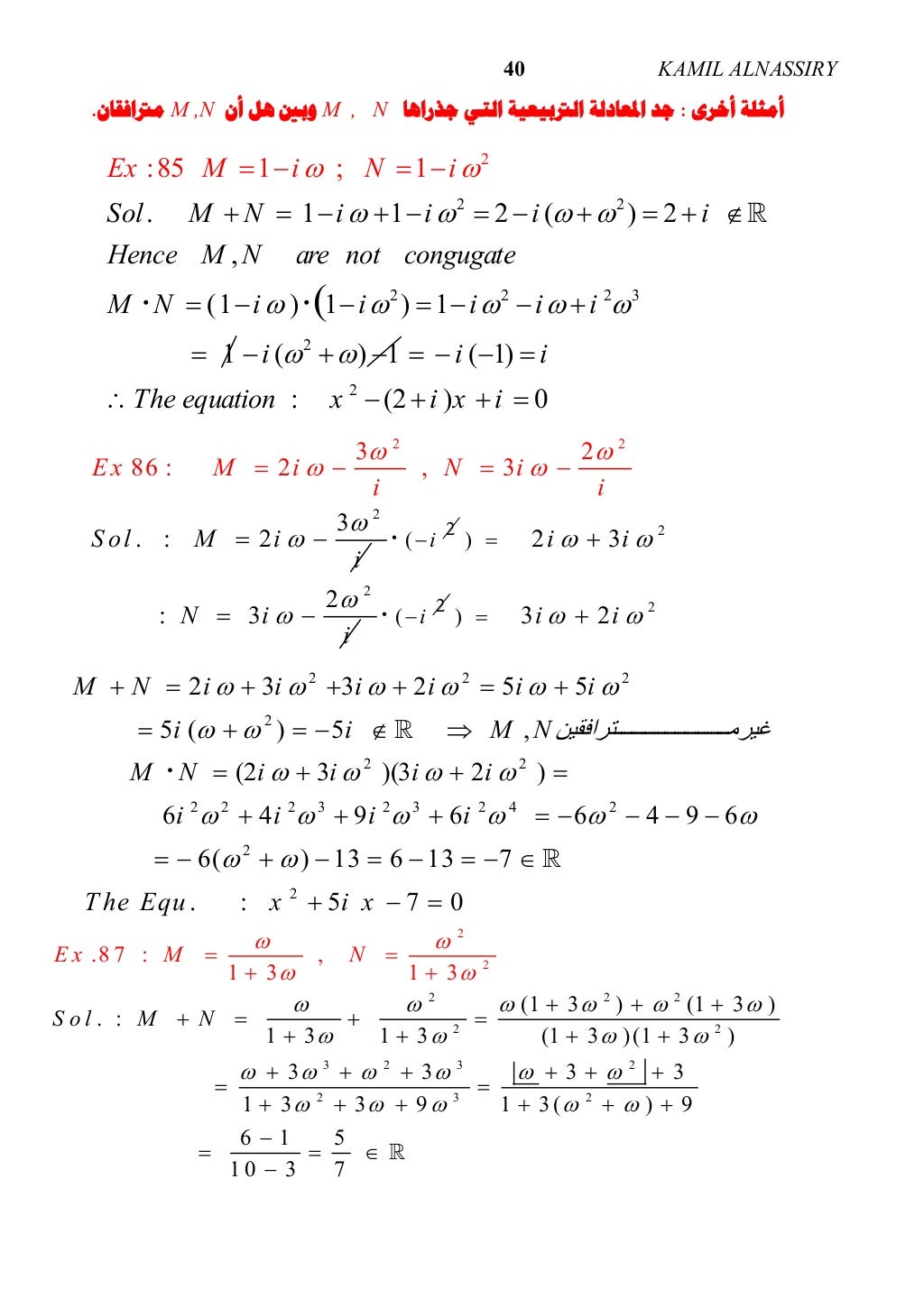
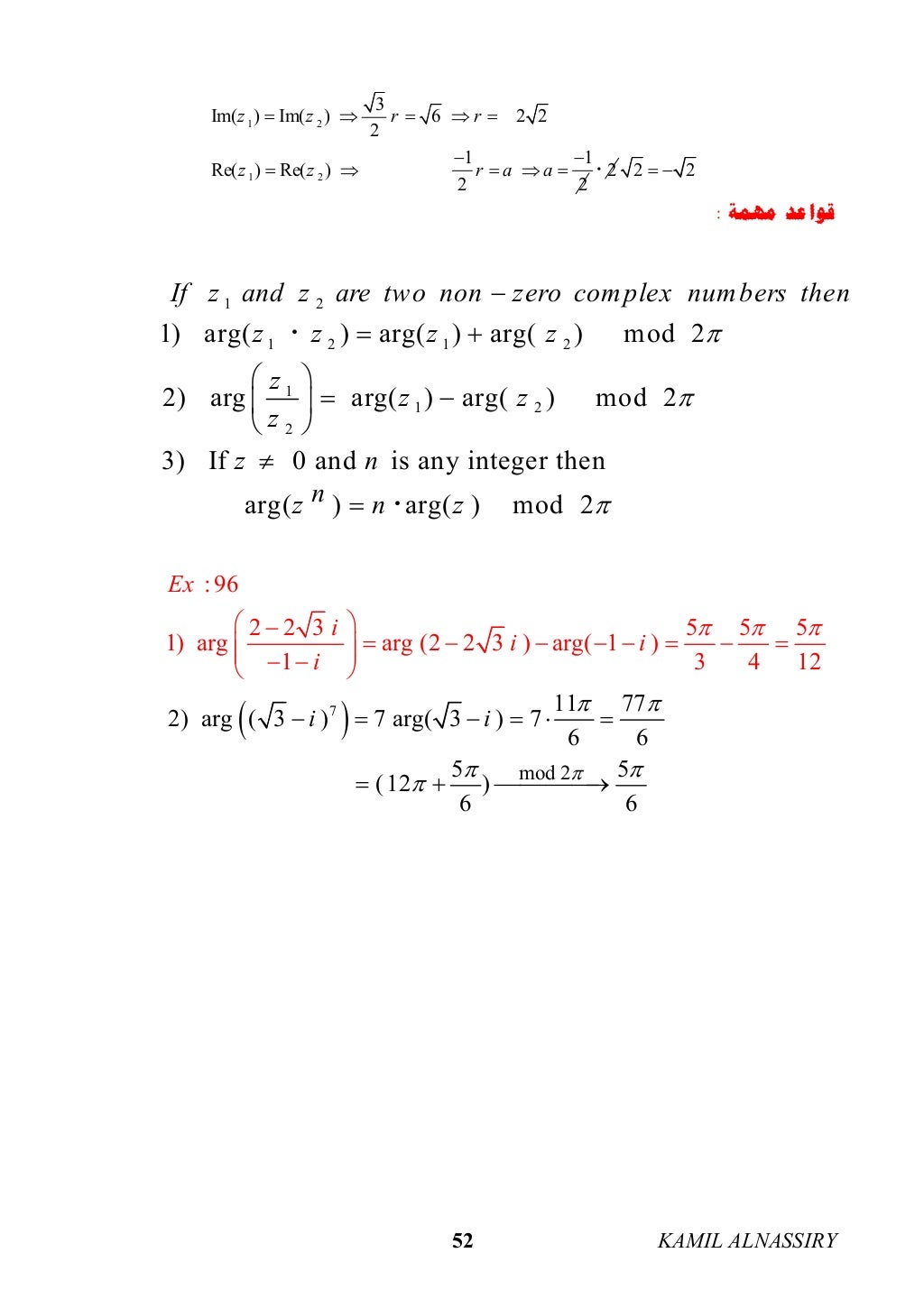
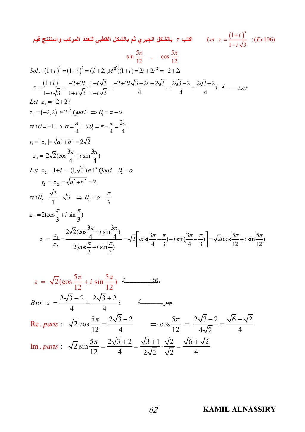
----------------------309 صفحة -----------------------






ملزمة الرياضيات لشيخ الرياضيات - كامل موسى الناصري

أساسيات الرياضيات من الالف الى الياء محمد الجمل

ملزمة الرياضيات - السادس العلمي

أساسيات الرياضيات بأسلوب بسيط -باسم المياحي

المتتابعات والمتسلسلات الحسابية للصف الثاني ثانوي

التمارين العامة الرياضيات - رائد الكردي 2015

ملزمة الرياضيات السادس العلمي التطبيقي الفصل الرابع التكامل 2017 الأستاذ ع...
moeiraqi.org

الأساسيات , الجبر, الهندسة الفراغية , الاستاتيكا , الدينا ميكا
خالد عبد الباسط
-----------------------------
ليست هناك تعليقات:
إرسال تعليق